FIRE offers the following courses for both the Master of Arts in Religious Education and the Masters in Religious Education programs:
RELED 201: Teaching Doctrine
This course is designed to enable the students to understand Catholic doctrine and present it to their students in a manner that is relevant and meaningful. Students are to be trained in handling primary sources of Catholic doctrine (Scripture, Official Church teachings), coupled with reflection in the light of human experience.
RELED 202: Teaching Christology
This course is designed to enable the students to understand the central figure of Christian Theology, Jesus of Nazareth, and present this Christological understanding to their students in a manner that is relevant and meaningful. Students are to be trained in handling primary sources of Catholic Christology (Scripture, Official Church teachings), coupled with reflection in the light of human experience.
RELED 203: Teaching Fundamental Moral Theology
This course is designed to enable the students to understand fundamental Catholic morals and present it to their students in a manner that is relevant and meaningful. Students are to be trained in handling primary sources of fundamental Catholic morals (Scripture, Official Church teachings), coupled with reflection in the light of human experience. Key topics to be focused on are fundamental concepts in morality such as freedom, conscience, sin, and moral law.
RELED 204: Teaching Worship and Spirituality
This course is designed to enable the students to understand Catholic worship and present it to their students in a manner that is relevant and meaningful. Students are to be trained in handling primary sources of Catholic worship (Scripture, Official Church teachings, liturgy), coupled with reflection in the light of human experience. Particular attention is to be given to the Sacraments, especially the Sacraments of Initiation.
RELED 205: Teaching Ecclesiology
This course is designed to enable the students to understand Catholic ecclesiology and present it to their students in a manner that is relevant and meaningful. Students are to be trained in handling primary sources of Catholic ecclesiological understanding (Scripture, Official Church teachings particularly Vatican II), coupled with reflection in the light of human experience.
RELED 211: Catechetical Lesson Planning
This course is designed to help the students understand the process of effective lesson-planning following sound religious education principles. Students are to be trained in the methodology officially proposed by the Philippine Catholic Church, as found in the National Catechetical Directory of the Philippines (NCDP) and the Catechism for Filipino Catholics (CFC).
RELED 220: Teaching Special Topics in Moral Theology
This course is designed to enable the students to understand specific Catholic morals, particularly Catholic Social Teaching (CST), and present it to their students in a manner that is relevant and meaningful. Students are to be trained in handling primary sources of specific Catholic morality (Scripture, Official Church teachings especially CST), coupled with reflection in the light of human experience.
RELED 221: Constructing Syllabi/Curricula
Building upon what the students learned from the NCDP in RELED 211: Catechetical Lesson Planning (pre-requisite), the course is designed to enable the students to construct syllabi/curricula using the Ignatian Pedagogical Paradigm (IPP).
*Pre-requisite: RELED 211
RELED 231: Designing Catechetical Materials
The students are exercised and trained in the production of Catechetical materials (for use in retreats, Parish activities, etc.). The students are led to understand the triple dialogue suggested by the Federation of Asian Bishops’ Conference (FABC). The catechetical materials to be produced will focus on inculturation, inter-religious dialogue, and/or social justice, including care for the environment.
*Pre-requisite: RELED 221
RELED 240: Doctrine, Morals, and Worship: A Synthesis
This course prepares the students for comprehensive examinations (oral and written). Emphasis is placed on developing the skill of synthesis, being able to inter-relate the various aspects/dimensions of the Christian faith as found in the thesis statements of the comprehensive exam matter.
The following are additional courses required of students in the Masters in Religious Education degree only:
RELED 215: Readings in Doctrine
With the students having been trained in the use of primary sources of Doctrine, this course is designed to expose students to contemporary scholarly literature in the field. The students are then trained in how these secondary sources can be used in improving their teaching of their respective students.
*Pre-requisites: RELED 201, 202, 211; offered in the 1st semester
RELED 297.3: Readings in Moral Theology
With the students having been trained in the use of primary sources of Moral Theology, this course is designed to expose the students to contemporary scholarly literature in the field. The students are then trained in how these secondary sources can be used in improving their teaching of their respective students.
*Prerequisite: RELED 215, 203, 220, 221; offered in the 1st semester
RELED 297.4: Readings in Worship and Spirituality
With the students having been trained in the use of primary sources of Worship, this course is designed to expose the students to contemporary scholarly literature in the field. The students are then trained in how these secondary sources can be used in improving their teaching of their respective students.
*Prerequisite: RELED 215, 204, 205, 231; offered in the 1st semester
RELED 241: Contemporary Topics
This course is designed to enable the students to synthesize what they learned in their Doctrine, Moral, and Worship courses and apply said learning to contemporary issues (e.g. environment, poverty, family life, etc.).
*Pre-requisites: RELED 211, 221, 231
RELED 298: Capstone Project
This course is designed to enable the students to bring together all they have learned (Doctrine, Moral, Worship, and Religious Education) in a single project, teaching the Christian Faith to a specific audience (e.g. Grade 3 students, second year college, etc.)
*Pre-requisites: RELED 215, 297.3, 297.4
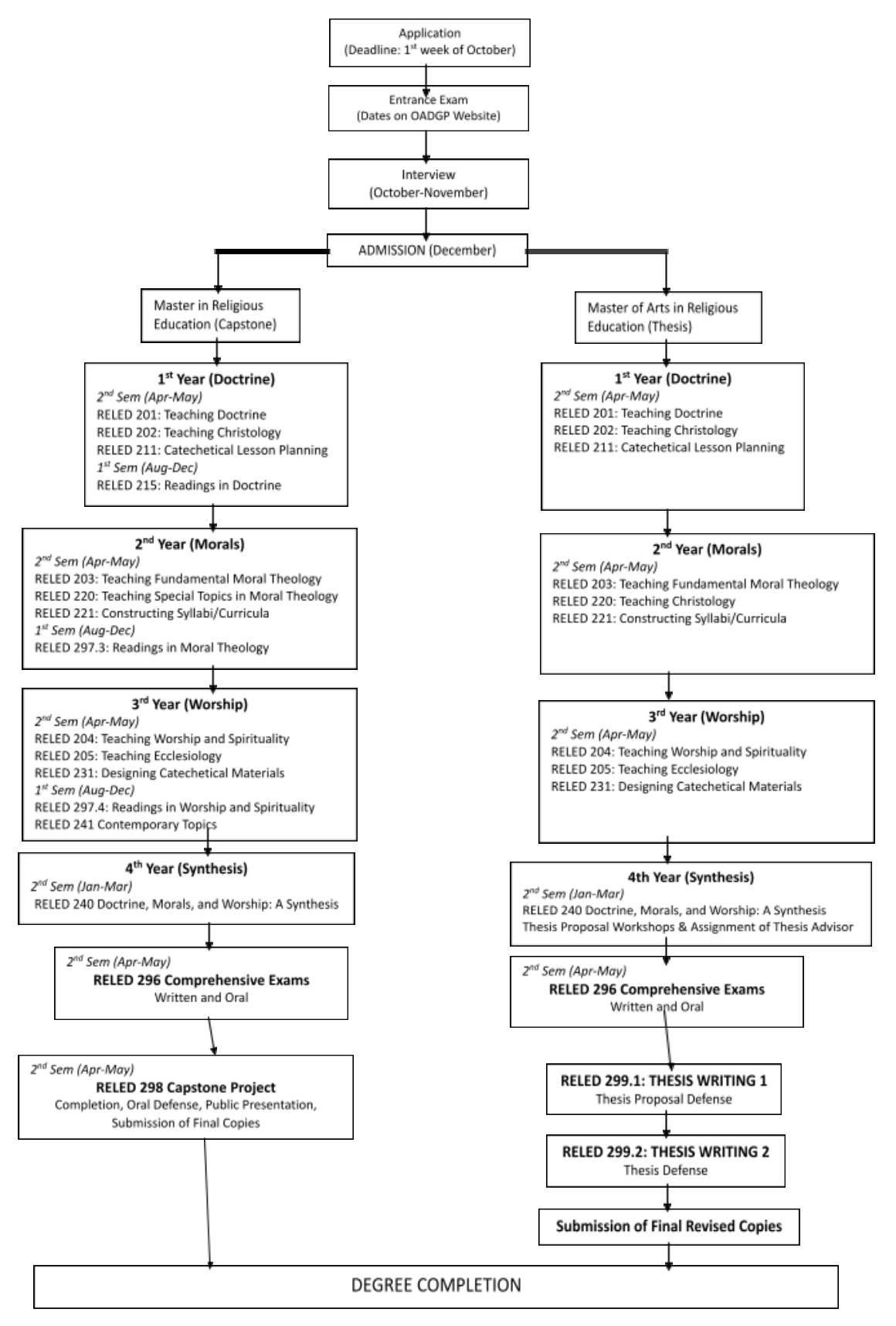
Degrees Offered and Program of Study
Master of Arts in Religious Education (36 units - Thesis Track)
The Master of Arts in Religious Education is designed for students who desire to pursue more advanced research in religious education through the development of a thesis. This program is especially suited to teachers in higher education, those who plan on doing doctoral studies, or those who would like to produce thesis-length catechetical materials. Acceptance into the thesis track is determined after passing a screening process during students’ first term in FIRE.
Master in Religious Education (45 units - Capstone Project)
The Master in Religious Education is a professional, terminal degree designed for students who would like to focus on developing skills for effective catechetical and religion teaching through additional practicum-oriented course work and a capstone project.
PROGRAM OF STUDY
